/ 0717-7854897
专门教育网 工农红军宜昌少年红军学校
首页
关于我们
学校简介
领导关怀
题词
丰硕成果
时事快报
教员园地
媒体报道
视频播报
阳光历程
联系我们
联系方式
请您留言
top
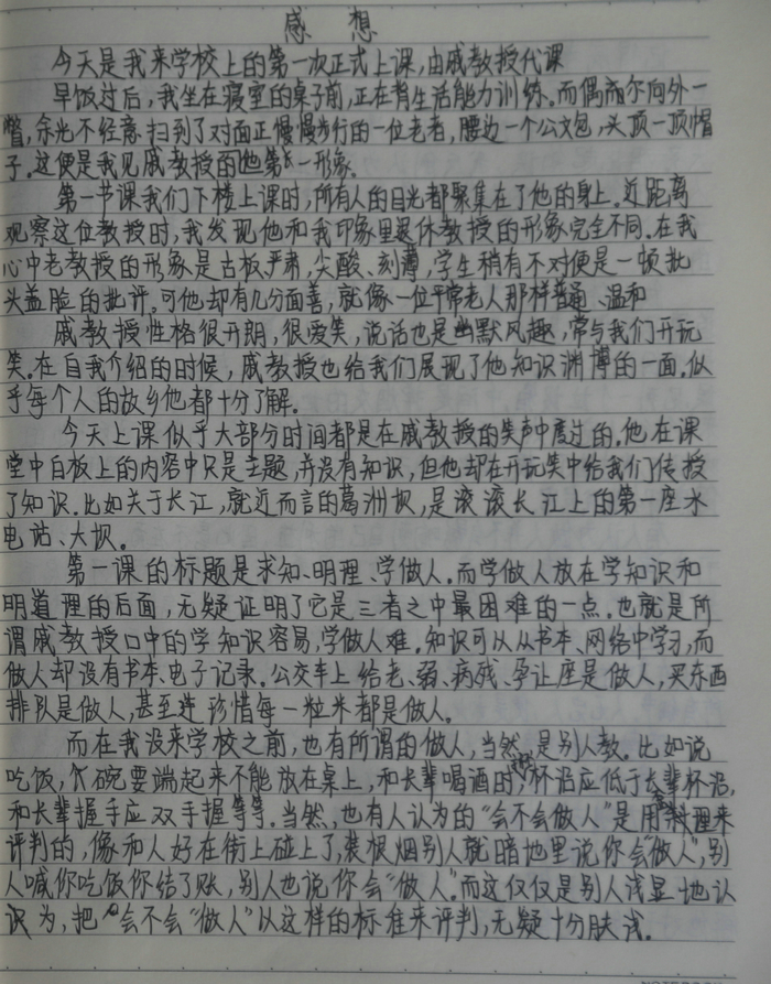
上戚道芳教授“德育课”优秀感想选登
发布时间:2018-10-21 10:24 点击:
分享到:
上一篇:
戚道芳教授德育课——求知、明理、学做人
下一篇:
国旗下演讲——关于未来,你应该如何规划
返回